產品列表
聯系我們
銷售熱線:0632-5113088
外貿電話:0632-5113066
公司傳真:0632-5113155
地址:山東省棗莊市市中區水處理劑產業園(十里泉東路1號)
E-mail:th@thwater.com
外貿電話:0632-5113066
公司傳真:0632-5113155
地址:山東省棗莊市市中區水處理劑產業園(十里泉東路1號)
E-mail:th@thwater.com
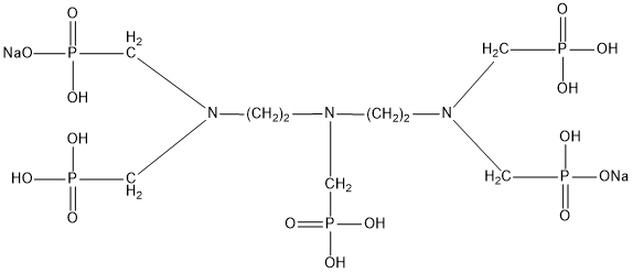
二乙烯三胺五甲叉膦酸鈉 DTPMP•Na2Sodium salt of Diethylene Triamine Penta (Methylene Phosphonic Acid) (DTPMP•Na2) CAS No.:22042-96-2 分子式 C9H26O15N3P5Na2 結構式
一、性能與用途DTPMP·Na2由DTPMP的不同形式鈉鹽組成,DTPMP·Na2可用作阻垢劑、高效螯合劑、優良的BaSO4阻垢劑,廣泛用于冷卻水處理、過氧化物漂白的穩定劑、洗滌助劑、市政工業清潔用水、地熱水處理、油田阻垢。 二、技術指標
三、包裝與貯存DTPMP·Na2用塑料桶包裝,每桶30kg 或250kg,也可根據用戶需要確定。貯于室內陰涼處,貯存期十個月。 四、安全防護DTPMP·Na2為弱酸性,操作時注意勞動保護,應避免與皮膚、眼睛等接觸,接觸后用大量清水沖洗。 |
||||||||||||||||
|
||||||||||||||||
| 關鍵字: 二乙烯三胺五甲叉膦酸鈉 DTPMP•Na2,有機膦酸鹽 |
