產品列表
聯系我們
銷售熱線:0632-5113088
外貿電話:0632-5113066
公司傳真:0632-5113155
地址:山東省棗莊市市中區水處理劑產業園(十里泉東路1號)
E-mail:th@thwater.com
外貿電話:0632-5113066
公司傳真:0632-5113155
地址:山東省棗莊市市中區水處理劑產業園(十里泉東路1號)
E-mail:th@thwater.com
氨基三甲叉膦酸 ATMPAmino Trimethylene Phosphonic Acid (ATMP)
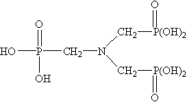
別名:氨基三亞甲基膦酸、ATMPA、次氮基三亞甲基三膦酸、次氮基三亞甲基膦酸 CAS No. 6419-19-8 分子式 N(CH2PO3H2)3C 相對分子質量:299.05 結構式
一、性能與用途:ATMP具有良好的螯合、低限抑制及晶格畸變作用。可阻止水中成垢鹽類形成水垢,特別是碳酸鈣垢的形成。ATMP在水中化學性質穩定,不易水解。在水中濃度較高時,有良好的緩蝕效果。 ATMP用于火力發電廠、煉油廠的循環冷卻水、油田回注水系統。可以起到減少金屬設備或管路腐蝕和結垢的作用。ATMP在紡織印染等行業用作金屬離子螯合劑,也可用于金屬表面處理劑等。 ATMP固體為結晶性粉末,易溶于水,易吸潮,易于運輸和使用,尤其適用于冬季嚴寒地區。 二、技術指標
三、使用方法ATMP常與其它有機膦酸、聚羧酸或鹽等復配成有機水處理劑,用于各種不同水質條件下的循環冷卻水系統。用量以1~20mg/L為佳;作緩蝕劑使用時,用量為20~60mg/L。 四、包裝與貯存ATMP液體用塑料桶包裝,每桶30kg或250kg;ATMP固體用內襯聚乙烯袋的塑料編織袋包裝,每袋凈重25kg,也可根據用戶需要確定。貯于室內陰涼通風處,防潮、嚴防曝曬,貯存期十二個月。 五、安全防護ATMP為酸性,操作時注意勞動保護,應避免與皮膚、眼睛等接觸,接觸后應立即用大量清水沖洗。 |
|||||||||||||||||||||||||||||||||||
|
|||||||||||||||||||||||||||||||||||
| 關鍵字: 氨基三甲叉膦酸ATMP,氨基三亞甲基膦酸ATMP,阻垢緩蝕劑 | |||||||||||||||||||||||||||||||||||


